跳至主要內容
🔧 工具
文档
Markdown
资源整合
工具
Git
📑 码头
视频相关
视频理解
视频表征
视频对话
对抗攻击
对抗攻击经典论文
对抗攻击推荐论文
无限制对抗攻击
语义对抗攻击(一)
无限制对抗攻击(一)
无限制对抗攻击(二)
🥗 大杂烩
对比学习
Diffusion演化进程
因果推断入门
LLM reasoning
🧫 炉
单机多卡DDP
AVSD
奇淫技巧
因果推断入门
Mr.R
2025/10/22
小于 1 分钟
长见识
通识
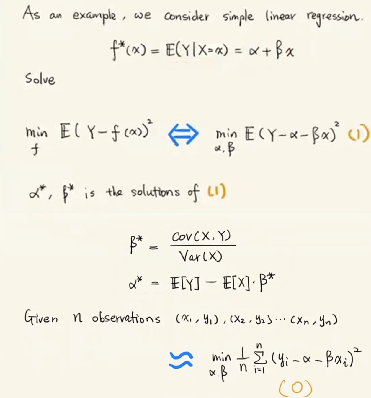
因果推断入门
辛普森悖论(Simpson's Paradox)
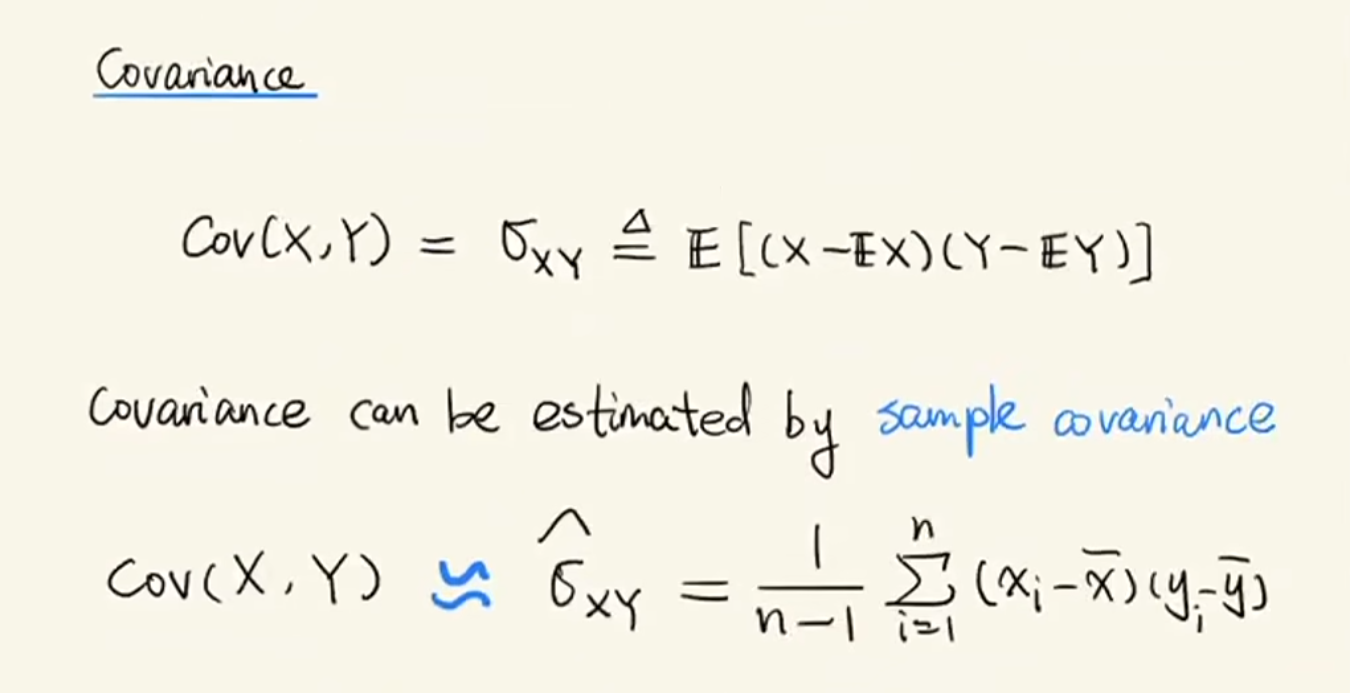
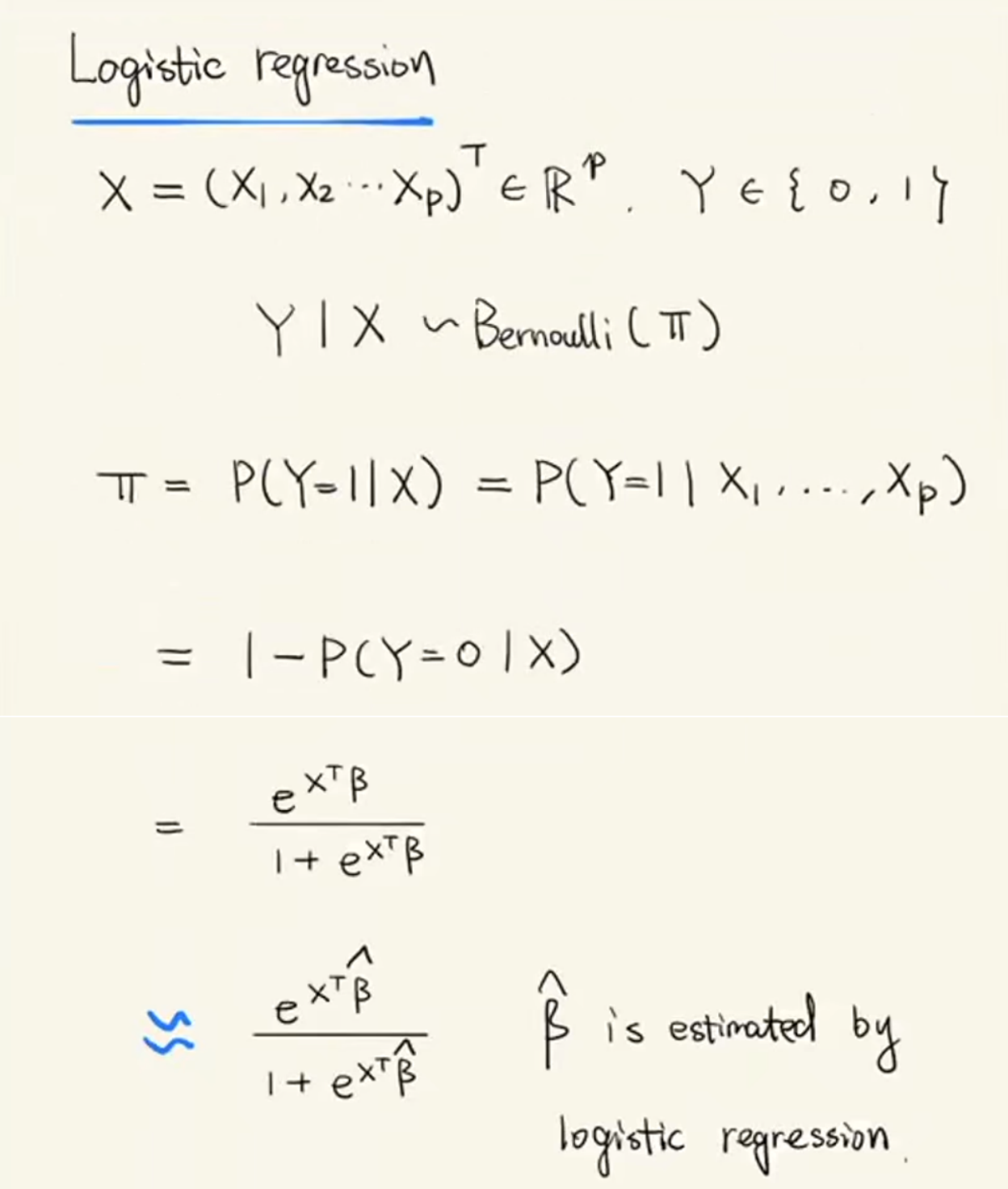
概率统计基本工具
图模型
因果结构模型(Structural Causal Model)
Intransitive case
链状结构
叉状结构
对撞结构
D-分割
模型检验和等价类
乘积分解法则
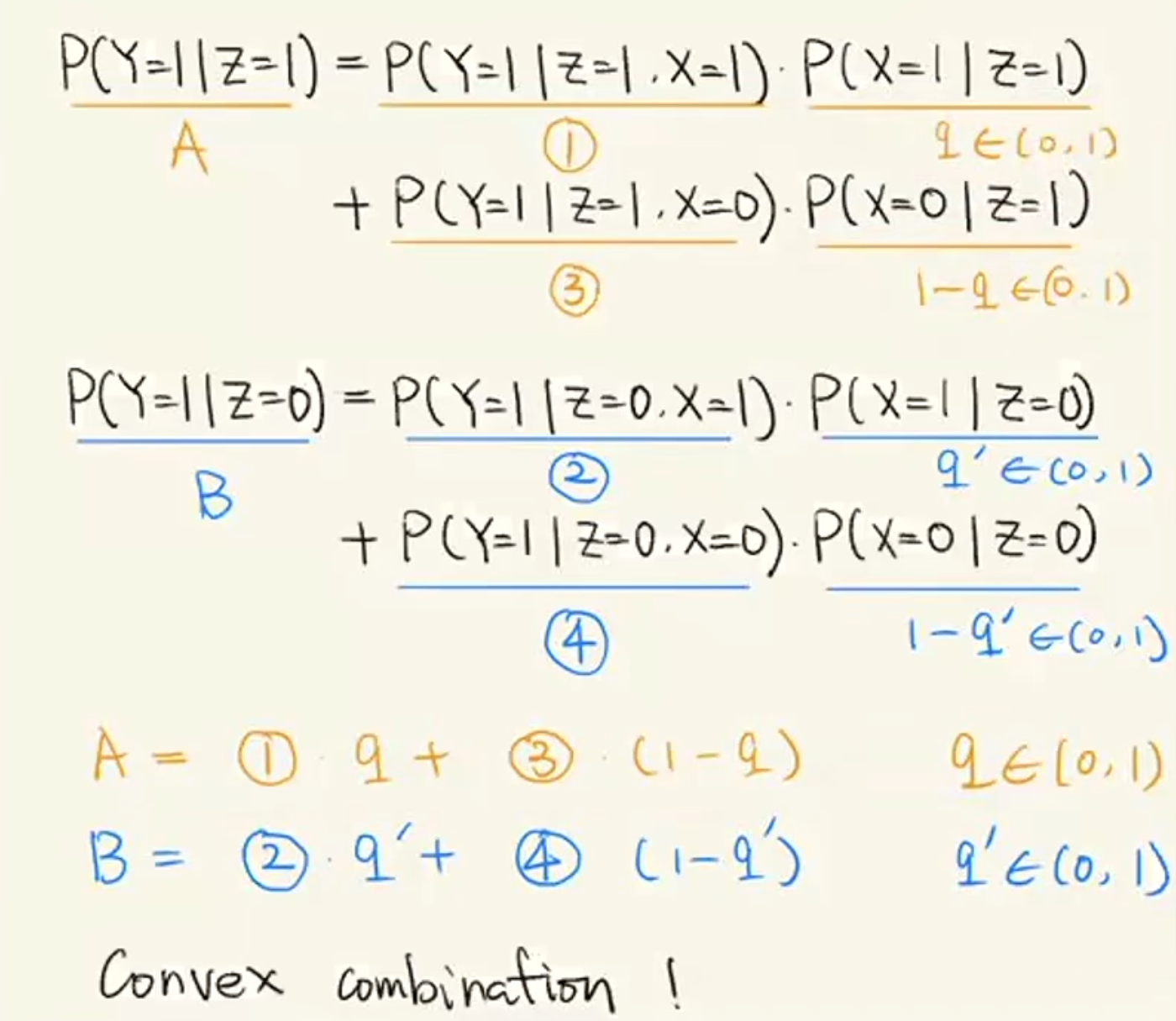
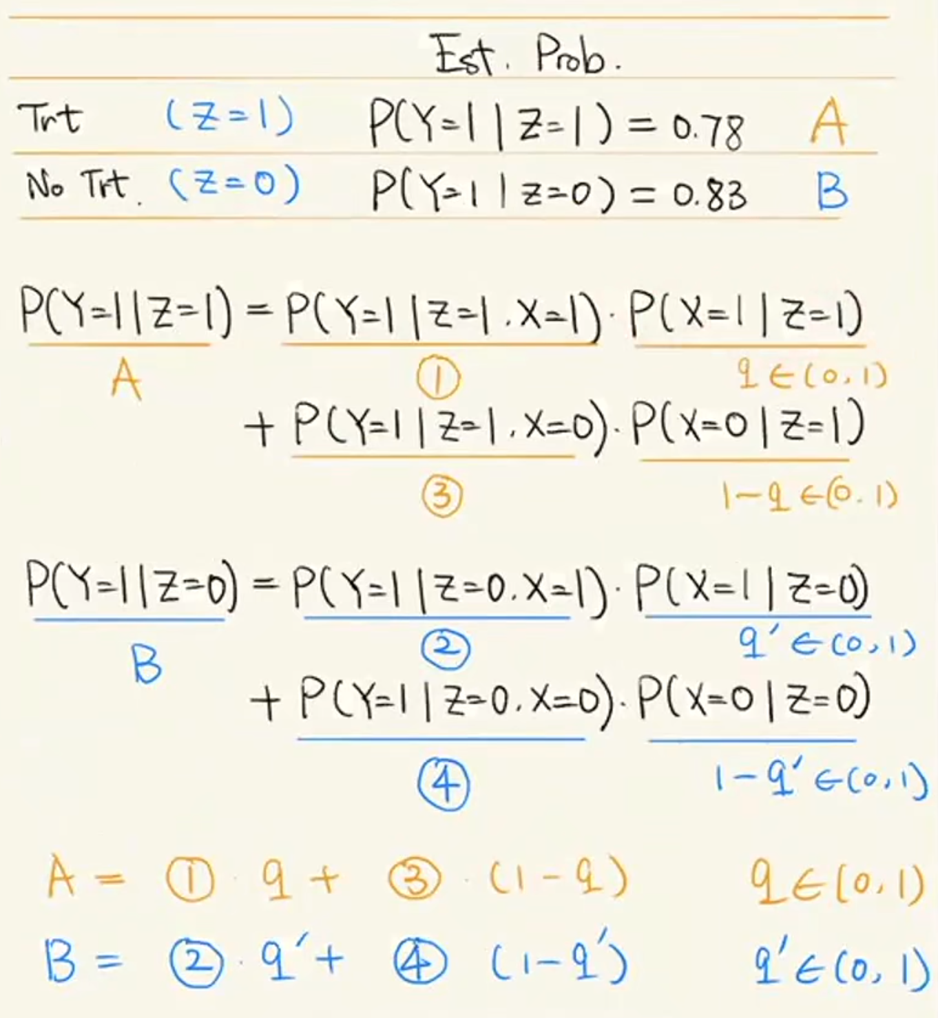
混淆变量
上一页
Diffusion演化进程
下一页
大语言模型如何进行思考(Reasoning)?